Korean, Edit

Chapter 16. Carboxylic Acids and Others

Recommended Post: 【Organic Chemistry】 Organic Chemistry Table of Contents


1. Overview

2. Carboxylic Acids

3. Acyl Chlorides

4. Acid Anhydrides

5. Esters

6. Amides

7. Nitriles



1. Overview

⑴ Common Reaction Principles

① Nucleophilic Attack, Electrophilic Attack

② Proton Transfer: Occurs intermolecularly between molecules rather than intramolecularly within a molecule

③ Tautomerization: Enol ↔ Ketone

④ Work-up: Precise identification of the base is not necessary

⑵ Properties

① Physical Properties

○ Carboxylic acids stabilize in dimeric forms due to hydrogen bonding

○ The dimeric structure results in carboxylic acids producing infrared absorption spectra around 2500-3000 cm-1

② Comparison of Carbonyl Compound Reactivities

acyl halide > acid anhydride > aldehyde > ketone > ester ~ carboxylic acid> amide > carboxylate ion

⑶ Carbonyl Compound Reaction Types

Type 1: When the nucleophilicity of Y- is greater than that of X-

Type 1 is frequently observed in acyl chlorides

○ Carboxylic acids and others also exhibit a similar prevalence of Type 1

○ Aldehydes and ketones rarely undergo reactions of Type 1


스크린샷 2024-11-21 오전 8 27 40

Figure 1. Carbonyl Compound Reaction Type 1


Type 2: When the nucleophilicity of Y- is smaller than that of X-

○ Most aldehydes and ketones follow Type 2

○ Even other reactions often seem to be merely an application of Type 2.


스크린샷 2024-11-21 오전 8 27 56

Figure 2. Carbonyl Compound Reaction Type 2


Type 3: Enone and 1,2-Addition Reaction: Occurs when the nucleophile is a strong nucleophile (e.g., Grignard reagent)


스크린샷 2024-11-21 오전 8 28 08

Figure 3. Carbonyl Compound Reaction Type 3


Type 4: Enone and 1,4-Addition Reaction (Michael addition): Occurs when the nucleophile is a weak nucleophile (e.g., MeSH)


스크린샷 2024-11-21 오전 8 28 23

Figure 4. Carbonyl Compound Reaction Type 4



2. Carboxylic Acids

⑴ Nomenclature

① Replace the -e of the alkane with -oic acid for naming

② Systemic nomenclature: Carbon number 1 becomes the carbon of -COOH

③ Common nomenclature: Adjacent carbon to -COOH becomes the α carbon

④ If there are alkenes, alkynes, etc., in the main chain, alkanoic acid becomes alkenoic acid, alkynoic acid, etc.


스크린샷 2024-11-21 오전 8 28 37

Figure 5. propenoic acid and propynoic acid


⑤ Comparison of Systemic Nomenclature (left) and Common Nomenclature (right)

○ Methanoic acid / Formic acid

○ Ethanoic acid / Acetic acid

○ Propanoic acid / Propionic acid

○ Butanoic acid / Butyric acid

○ Pentanoic acid / Valeric acid

○ Hexanoic acid / Caproic acid

○ Propenoic acid / Acrylic acid

○ 2-methoxybutanoic acid / α-methoxybutyric acid

○ 3-bromopentanoic acid / β-bromovaleric acid

○ 4-chlorohexanoic acid / γ-chlorocaproic acid

Reaction 1: Nucleophilic Addition Reaction

Reaction 1-1: Formation of Acyl Chlorides: Formation of acyl chlorides through treatment with SOCl2


스크린샷 2024-11-21 오전 8 28 51

Figure 6. Mechanism of Acyl Chloride Formation


image

Figure 7. Reaction for Generating phtaloyl chloride from phthalic acid


Reaction 1-2: Fischer Esterification

(Formula) RCOOH + HOR’ react under acidic conditions to form RCOOR’ + H2O

○ Carboxylic acids do not undergo acetal formation reactions, so they do not compete with Fischer esterification.

○ The reason that proton attaches to =O rather than -OH under acidic catalysis

○ Assumption: ROH must form a tetrahedral intermediate with carboxylic acid to facilitate the departure of the leaving group

○ Proton attaching to -OH: ROH results in =O becoming -O- and -OH becoming -OH2+, making the molecule unstable

○ Proton attaching to =O: ROH results in =OH+ becoming -OH, and the original -OH remains unchanged, stabilizing the intermediate


image

Figure 8. Fischer Esterification Mechanism


○ Under basic catalysis, only the acid-base reaction occurs, converting -COOH to -COO-

Reaction 1-3: Amide Formation through Amine Addition

○ Reaction Conditions: Δ, EDC, DIC, or DCC

○ EDC: 1-(3-Dimethylaminopropyl)-3-ethylcarbodiimide)

○ DIC: Diisopropylcarbodiimide

○ DCC: N,N‘-Dicyclohexylcarbodiimide


스크린샷 2024-11-21 오전 8 29 22

Figure 9. Mechanism of Amide Formation through Amine Addition


Point 1: EDC / NHS Chemistry


image

Figure 10. EDC/NHS Coupling


○ 1st. EDC reacts with the carboxyl group of the target molecule

○ 2nd. NHS stabilizes the EDC intermediate: Because the EDC intermediate can react with water

○ In other words, NHS prevents extensive reaction with water, promoting rapid amine reaction

○ 3rd. Amines are attached to form amide bonds

○ Additional Notes

○ Generally, protocols indicate that EDC and NHS are added simultaneously to the target molecule solution.

○ Adding NHS first does not cause it to react with the target molecule

○ NHS (N-hydroxysuccinimide) Supplementation

○ NHS is the most frequently used activated ester

○ NHS-amine labeling is usually done in water as a solvent

○ Since NHS decreases water solubility, DMSO or DMF is sometimes added.

○ For reactions where water solubility is crucial, sulfo NHS is used

Point 2: Difference between EDC and DCC: EDC and DCC perform similar roles overall

○ EDC: Generates a water-soluble byproduct (urea byproduct) within 1 day

○ DCC: Performs the role of EDC in organic solvents, forming DCU

Point 3: Various Application Cases


image

Figure 11. Various Application Cases of Amide Formation through Amine Addition


Reaction 1-4: Carboxylic Acid Reduction

○ NaBH4: No reaction occurs

○ LiAlH4: Reduces carboxylic acids to alcohols through an aldehyde intermediate.


image

Figure 12. Carboxylic Acid Reduction by LiAlH4


○ BH3/THF: Reaction occurs


스크린샷 2024-11-21 오전 8 29 58

Figure 13. Carboxylic Acid Reduction by BH3/THF


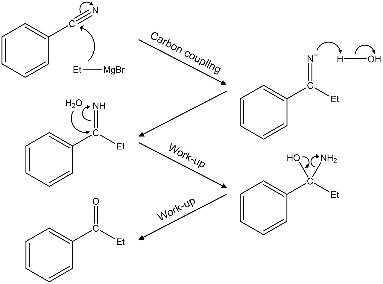
Reaction 1-5: Organic Lithium Reaction: Forms ketones


스크린샷 2024-11-21 오전 8 30 11

Figure 14. Mechanism of Organic Lithium Reaction


Reaction 1-6: Exchange Reaction of -OH in Carboxylic Acid: Confirmed by isotopic effect

Reaction 2. Acid–Base Reaction

Reaction 2-1. General Acid–Base Reaction

Reaction 2-2. Mitsunobu Esterification

(Note) The carboxylic acid is converted to the corresponding carboxylate, which then undergoes an SN2 reaction.

○ Under PPh3/DEAD in THF, the reactive intermediate formed from the PPh3–DEAD pair behaves as a base, enabling ester formation and producing the reduced DEAD byproduct and PPh3=O.


스크린샷 2026-02-17 오전 11 34 43

Figure 15. Mitsunobu Esterification


Reaction 3. Other Reactions

Reaction 3-1. Hell-Vollhard-Zelinsky Reaction (HVZ Reaction)

○ Reaction of carboxylic acids at the α position with bromine or chlorine in the presence of phosphorus

Application 1. RCOCl + NCS, HCl, SOCl2, 70 ℃

Application 2. RCOCl + NBS, HBr, SOCl2, 70 ℃

Application 3. RCOCl + I2, HI, SOCl2, 85 ℃

Reaction 3-2. Hundsdiecker Reaction: RCOOAg + Br2, CCl4 → R-Br

Reaction 3-3. Kochi Reaction: A variation of the Hundsdiecker Reaction. RCOOH + Pb(OAC)4, + LiCl - CO2 → R-Cl + LiPb(OAc)3 + HOAc

Reaction 3-4. After converting the carboxylic acid to its dianion form, an alkylation reaction occurs at the alpha position. 1. NaH, 55 ℃, THF, 2. LDA, 10-35 ℃

⑸ Major Mistakes Related to Carboxylic Acid Reactions

① Alkoxide and Carboxylic Acid


image

Figure 16. Alkoxide and Carboxylic Acid


② Grignard Reagent and Carboxylic Acid


image

Figure 17. Grignard Reagent and Carboxylic Acid


⑹ Synthesis Methods

Oxidation of Alkenes: 1. KMnO4, OH-, heat, 2. H3O+ / 1. O3, 2. H2O2

Oxidation of Alkyl Benzenes: 1. KMnO4, OH-, heat, 2. H3O+ leads R-Me to become R-COOH

③ Oxidation of the Benzene Ring Itself: 1. O3, CH3CO2H, 2. H2O2 leads R-Ph to become R-COOH

Oxidation of Primary Alcohols: 1. KMnO4, OH-, heat, 2. H3O+ / H2CrO4

⑤ Oxidation of Aldehydes: Ag(NH3)2+OH- (Silver Mirror Reaction) or H2CrO4

⑥ Oxidative Cleavage of Ketones: 1. KMnO4, H2O, NaOH, 2. H3O+

Haloform Reaction: 1. X2 / NaOH, 2. H3O+

Hydrolysis of Cyanide (RCN)


스크린샷 2024-11-21 오전 8 30 35

Figure 18. Cyanide Hydrolysis


Decarboxylation Reaction of Malonic Acid or Malonic Acid Esters

⑩ Carbonation Reaction of Grignard Reagent

○ Grignard reagents are used in ether solvents

○ CO2 is supplied in the form of dry ice


스크린샷 2024-11-21 오전 8 30 49

Figure 19. Carbonation Reaction Types of Grignard Reagent Type 1



3. Acyl Chlorides

⑴ Nomenclature

① If the parent chain is cyclic, add carbonyl halide as a suffix to cycloalkane and name it.

② For substituents in a chain, name them in alphabetical order followed by -oxo.

③ For substituents in a cyclic compound, add halocarbonyl as a prefix and name it.

④ Comparison between systematic naming (left) and common naming (right)

○ ethanoyl chloride / acetyl chloride

○ 3-methylpentanoyl chloride / β-methylvaleryl chloride

⑵ Characteristics

① Acyl chlorides are highly reactive and can react with moisture in the air.

② Acidity: H3O+ < HCl, Basicity: H2O > Cl-

Reaction 1. Nucleophilic addition reaction

Reaction 1-1. Reaction with carboxylates: Forms anhydrides. CH3CO2-

Reaction 1-2. Reaction with alcohols to form esters

Reaction 1-3. Reaction with amines to form amides

○ Since the above reaction is not a step-by-step process, adding a small amount of amine will result in some amine performing the work-up, leading to the presence of three different states.

○ Generally, excess of 2 equivalents of amine is used: Only products are formed.


스크린샷 2024-11-21 오전 8 31 04

Figure 20. Mechanism of amide formation reaction


Reaction 1-4. Formation of carboxylic acids through hydrolysis: H3O+

Reaction 1-5. Alpha halogenation reaction: HX, SOCl2

Reaction 2. Reduction reaction

Reaction 2-1. Reaction with NaBH4, LAH to generate primary alcohols: 1. LiAlH4, 2. H3O+

Reaction 2-2. Reaction with LiAlH(O-t-Bu3)3 to generate aldehydes: 1. LiAlH(OC(CH3)3)3, 2. H2O

Reaction 2-3. Rosenmund reduction: H2 / Pd, Quinoline, BaSO4

Reaction 3. Reaction with organometallic reagents

Reaction 3-1. Reaction with Grignard reagents to generate tertiary alcohols: 1. 2 RMgX, 2. H3O+

Reaction 3-2. Reaction with Gilman reagents to generate ketones: (Ph)2CuLi, ether

Reaction 4. Ketone formation via Benzene and Friedel-Crafts acylation

Reaction 5. Rearrangement reactions

Reaction 5-1. Curtius rearrangement

○ Reaction where isocyanate and nitrogen gas are formed from acyl azides

○ Although related to azide portion, the problems usually start with acyl chlorides

Importance: Widely used for amine synthesis


스크린샷 2024-11-21 오전 8 31 29

Figure 21. Curtius rearrangement mechanism (applications)


Reaction 5-2. Wolff rearrangement

○ Ag2O + H2O forms OH-. Δ or hν promotes H detachment

○ Wolff rearrangement occurs with aldehydes and ketones

○ Wolff rearrangement doesn’t happen with carboxylic acids

(Formula) Acyl chloride + diazomethane → diazo ketone → ketene

○ Although related to azide portion, the problems usually start with acyl chlorides


스크린샷 2024-11-21 오전 8 31 48

Figure 22. Wolff rearrangement mechanism


Reaction 5-3. Formation of ketene upon treatment with tertiary amines

⑻ Synthesis Methods

① Carboxylic acid + SOCl2


스크린샷 2024-11-21 오전 8 32 05

Figure 23. Acyl chloride synthesis using carboxylic acid and SOCl2


② PCl3

③ PCl5



4. Acid Anhydrides

⑴ Nomenclature

① Remove “acid” from carboxylic acid and add “anhydride” to name anhydrides.

② For cyclic compounds, add “carboxylic anhydride” as a suffix to cycloalkane.

③ For substituents in chains, use alkanoyloxy- or common name + oxy as a prefix.

④ For substituents in cyclic compounds, use alkanoylcarbonyl or common name + carbonyl as a prefix.

⑤ For cyclic anhydrides, add “alkanedioic anhydride” as a suffix to alkane: Common names are often used.

⑥ Comparison between systematic naming (left) and common naming (right)

○ ethanoic anhydride / acetic anhydride, symmetrical anhydride

○ ethanoic methanoic anhydride / acetic formic anhydride, mixed anhydride

⑵ Reactions

Reaction 1. Nucleophilic addition reaction

1-1. Formation of carboxylic acid: Hydrolysis reaction


image

Figure 24. Formation of carboxylic acid through hydrolysis of anhydride


1-2. Ester formation reaction: Anhydride + alcohol or carboxylic acid


image

Figure 25. Esterification reaction of anhydride


1-3. Amide formation reaction: Anhydride + ammonia/imine + NaOH


image

Figure 26. Amide formation reaction


1-4. Formation of imides from cyclic anhydrides and ammonia: NH3, H2O, H3O+

1-5. Reaction with alcohols to form esters: pyridine / (CF3CO)2O, R’OH

Reaction 2. Nucleophilic aromatic substitution reaction (SNAr)

2-1. Reaction with aromatic compounds and nitration: Occurs under HNO3


image

Figure 27. Furan and nitration


2-2. Reaction with aromatic compounds and Friedel-Crafts acylation to form ketones: Occurs under BF3


image

Figure 28. Furan undergoing Friedel-Crafts acylation


2-3. Synthesis of fluorescein: phthalic anhydride + 2 × resorcinol → fluorescein (catalyst: ZnCl2)


image

Figure 29. Fluorescein synthesis


Reaction 3. Oxidation reactions

○ Reaction with Grignard, organolithium reagents to form secondary, tertiary alcohols: 1. 2RMgX, 2. H3O+

○ Reaction with NaBH4, LAH to generate methyl, primary alcohols: 1. LiAlH4, 2. H3O+

Imine dehydration reaction: Reaction of HRC=N-OH with anhydride produces R-C≡N

④ Cases where no reaction occurs

○ Anhydride is not converted to acyl chloride when treated with NaCl.

○ Doesn’t react with SOCl2

○ Doesn’t react with Gilman reagents

⑶ Synthesis Methods

① Carboxylic acid + heat / P2O5


image

Figure 30. Acid anhydride synthesis



5. Esters

⑴ Nomenclature

① Systematic naming: List substituents on O first, then remove -ic acid from carboxylic acid naming and add -ate.

② For cyclic compounds, add carboxylate to cycloalkane.

③ For substituents in chains, name them as number - alkoxy - number - oxo.

④ For substituents in cyclic compounds, use alkoxy carbonyl as a prefix.

⑤ Comparison between systematic naming (left) and common naming (right)

○ ethyl ethanoate / ethyl acetate

○ phenyl propanoate / phenyl propionate

○ methyl 3-bromobutanoate / methyl β-bromobutyrate

⑥ Systematic naming of carboxylic acid conjugate bases (left) and common naming (right)

○ sodium methanoate / sodium formate

○ potassium ethanoate / potassium acetate

Reaction 1. Nucleophilic addition reaction

Reaction 1-1. Acid-catalyzed hydrolysis reaction: Because the reverse reaction is also possible, a specific equilibrium state is reached.


스크린샷 2024-11-21 오전 8 33 07

Figure 31. Ester hydrolysis reaction mechanism


Reaction 1-2. Saponification reaction: Base-catalyzed hydrolysis reaction

○ Reaction conditions example: 1. NaOH, H2O, 2. HCl, H2O

○ The reaction does not proceed in the reverse direction due to the concentration of leaving group (i.e. OH-) determined by pH.


스크린샷 2024-11-21 오전 8 33 22

Figure 32. Saponification reaction mechanism


Reaction 1-3. Trans-esterification reaction: Can occur under both acidic and basic conditions


스크린샷 2024-11-21 오전 8 33 38

Figure 33. Trans-esterification reaction


Reaction 1-4. Reaction leading to amide formation with amines


스크린샷 2024-11-21 오전 8 33 51

Figure 34. Reaction leading to amide formation with amines


Reaction 1-5. Polymerization reaction using cyclic esters as monomers: Ring-opening reaction occurs iteratively

Reaction 2. Reduction reaction

Reaction 2-1. Alcohol formation reaction with LAH (LiAlH4)


스크린샷 2024-11-21 오전 8 34 03

Figure 35. Alcohol formation reaction with LAH


Reaction 2-2. NaBH4 reduction reaction

○ Less electrophilic than aldehydes and ketones, so esters are not completely reduced by NaBH4.

○ At low temperatures, esters can only be reduced to aldehydes.

○ NaBH4 can only reduce esters under AlCl3, generally not capable of reducing carboxylic acids.


image

Figure 36. NaBH4 reduction reaction equation


Reaction 2-3. Reduction reaction with DIBAL-H ([(CH3)2CHCH2]2AlH)


image

Figure 37. Reduction reaction with DIBAL-H


Reaction 3. Acid-base reactions

① Overview

○ Esters are less acidic than aldehydes and ketones

○ Reason: The conjugate base of an ester competes with the resonance lone pair of the ester, preventing resonance stabilization

Reaction 3-1. Alpha halogenation of esters: 1. LDA, THF, 2. Br2

Reaction 4. Oxidation reactions

Reaction 4-1. Reaction with organometallic reagents

○ Use sufficient organic reagent to ensure complete reaction since esters, ketones, and alcohols coexist

○ Requires 2 equivalents of organic reagent for complete reaction, slightly exceeding that in practice


스크린샷 2024-11-21 오전 8 34 27

Figure 38. Tertiary alcohol formation reaction with Grignard reagent addition


Reaction 5. Decarboxylation reaction: Requires high temperatures


스크린샷 2024-11-21 오전 8 34 44

Figure 39. Ester decarboxylation reaction


Reaction 6. Claisen rearrangement reaction of orthoesters


스크린샷 2024-11-21 오전 8 35 01

Figure 40. Claisen rearrangement reaction of orthoester


⑻ Synthesis Methods

① Ester synthesis using diazomethane: H2C-N≡N

② Synthesis through alkylation reaction by SN2 of carboxylate

Baeyer-Villiger oxidation

Fischer esterification: Acid-catalyzed esterification reaction

⑤ Carboxylic acid + intramolecular esterification → lactone (cyclic ester)

Polyester synthesis



6. Amides

⑴ Nomenclature

① Mention substituents attached to the amide nitrogen first

N-cyclohexylpropanamide

N-ethyl-_N_-methylpentanamide

N,N-diethylbutanamide

② Carbon of C=O becomes carbon 1, similar to a carbonyl group

③ If alkyl-substituted at nitrogen, prefix N- to the substituent name

④ In cyclic cases, add carboxamide after cycloalkane

⑤ In chain cases treated as substituents, name as number - alkylamino - number - oxo

⑥ In cyclic cases treated as substituents, name as alkylcarbamoyl

⑦ Comparison of systematic naming (left) and common naming (right)

○ ethamide / acetamide

○ 4-chlorobutanamide / γ-chlorobutyramide

⑵ Properties

① Primary and secondary amides can form dimers through intermolecular hydrogen bonding

② Boiling point of amides is higher than carboxylic acids

Reaction 1. Amide hydrolysis reaction

Reaction 1-1. Acid-catalyzed amide hydrolysis reaction


스크린샷 2024-11-21 오전 8 35 14

Figure 41. Acid-catalyzed amide hydrolysis reaction


Reaction 1-2. Base-catalyzed amide hydrolysis reaction


스크린샷 2024-11-21 오전 8 35 30

Figure 42. Base-catalyzed amide hydrolysis reaction


Reaction 1-3. Reaction with LiAlH4 to form amine: Requires 2 equivalents of LiAlH4


스크린샷 2024-11-21 오전 8 35 43

Figure 43. Reaction mechanism of amine formation from amide using LiAlH4


Reaction 2. Other reactions

Reaction 2-1. Oxidation reaction: Does not react with Grignard reagents

Reaction 2-2. Polymerization reaction via ring opening of cyclic amides as monomers

Reaction 2-3. Hofmann rearrangement reaction

○ Reactant is halogen gas, and intermediates include haloamide, isocyanate, carbamic acid.


image

Figure 44. Hofmann rearrangement reaction


Reaction 2-4. Bischler-Napieralski reaction: Ring formation reaction


Figure 45. Bischler-Napieralski reaction


Reaction 2-5. Luminol reaction


Figure 46. Luminol reaction


Component 1. Luminol reagent: White or yellow solid. Hydrophobic. Produces blue light when mixed with oxidizer

Component 2. Base: Sodium hydroxide

Component 3. Hydrogen peroxide: Oxidizer supplying oxygen. 2H2O2 → O2 + 2H2O

Component 4. Catalyst: Iron ion in hemoglobin, K3[Fe(CN)6], KIO4, etc.

Use 1. Detecting bloodstains at crime scenes

Use 2. Detecting copper, iron, cyanide in laboratories

⑸ Synthesis Methods

From carboxylic acids: Carried out under conditions with EDC / NHS, DCC, or DIC catalysts


Figure 47. EDC/NHS coupling


From acyl chlorides: Requires 2 equivalents of amine ( amine reacts with leaving group)

From acid anhydrides

Ritter reaction: Conversion of nitrile to amide

From amines

Beckmann rearrangement



7. Nitriles

⑴ Nomenclature

① When nitrile has the highest priority, carbon of -CN is labeled as carbon 1

② If nitrile is part of a ring, name as cycloalkanecarbonitrile

③ If nitrile is a substituent in chain or ring, use cyano- prefix for naming

④ Comparison of systematic naming (left) and common naming (right)

○ ethanenitrile / acetonitrile, methyl cyanide

○ 5-methylhexanenitrile / δ-methylcapronitrile, isohexyl cyanide

○ propenenitrile / acrylonitrile

Reaction 1. Nucleophilic addition reaction

Reaction 1-1. Acid-catalyzed hydrolysis: Forms carboxylic acid


Figure 48. Acid-catalyzed hydrolysis mechanism


Reaction 1-2. Base-catalyzed hydrolysis

Reaction 1-3. Ritter reaction

○ Conversion of nitrile to amide

○ Ph-C≡N + ROH + H2SO4, H2O → Ph-CO-NH-R

Reaction 2. Hydrogenation reaction

Reaction 2-1. Amine formation via LAH (LiAlH4)


Figure 49. Amine formation via LAH (LiAlH4)


Reaction 2-2. Aldehyde formation via DIBAL-H


Figure 50. Aldehyde formation via DIBAL-H


Reaction 2-3. Hydrogenation with Raney nickel catalyst: Raney nickel serves the role of gently moderating reactions to prevent the escape of nitrogen.


Figure 51. Hydrogenation with Raney nickel catalyst


Reaction 3. Organometallic reagent reactions

Reaction 3-1. Ketone formation by addition of Grignard reagent


Figure 52. Ketone formation by adding Grignard reagent


Reaction 3-2. Ketone formation by adding organic lithium reagents

③ Gilman Reagent (R2CuLi) does not react with carbonyl group (C=O) and nitrile

Reaction 4. Azide-alkyne cycloaddition

① Also known as click chemistry, discussed by K. Barry Sharpless starting in 1998

Reaction 4-1. 1,3-dipolar azide-alkyne cycloaddition

○ Above 100 ℃. Hours-days. Heat-catalyzed conjugetion reaction

○ Rapid reaction when R2, R3 are electron-withdrawing groups


Figure 53. 1,3-dipolar cycloaddition


Application 1. azide + cyclooctyne


Figure 54. Cycloaddition with azide and cyclooctyne


Application 2. tetrazine + trans-cyclooctene


Figure 55. Cycloaddition with tetrazine and trans-cyclooctene


Reaction 4-2. CuAAC (Copper-catalyzed azide-alkyne cycloaddition)


Figure 56. CuAAC reaction


Reaction 4-3. RuAAC (Ruthenium-catalyzed azide-alkyne cycloaddition)


Figure 57. RuAAC reaction


Reaction 4-4. SPAAC (Copper-free stain-promoted azide-alkyne cycloaddition)

○ A recently introduced technique

○ Addition reaction method applicable to soft molecules like biomolecules

⑹ Synthesis Methods

① Reaction of NaCN with R-X via SN2

② CuCN treatment of Ar-N2 in Sandmeyer reaction

③ Reaction of aldehydes and ketones with NaCN reaction: CN- attacks carbonyl carbon

④ Dehydration reaction of amides: Conversion to nitrile using dehydration reagents like P4O10, (CH3CO)2O, SOCl2, POCl3



Input: 2019.02.28 23:13

Modified: 2026.02.02 19:28

results matching ""

    No results matching ""